Jučer je dosadašnji gradonačelnik Ivica Puljak građanima predstavio svoj program za nadolazeće izbore, a splitski Most, čiji je kandidat Josip Markotić, optužio je danas Puljka za plagiranje njihovog prijedlog sa sjednice Gradskog vijeća iz listopada prošle godine.
No bivši predsjednik Mjesnog odbora Slatine, Tomislav Andrijolić, kaže daj ovaj projekt potaknuo upravo on, prije Mosta i Puljka. Ističe da nije toliko bitno tko je potaknuo rješavanje ovog problema koliko da se uistinu radi na njegovom rješenju.
Na odgovor Mosta nije se dugo čekao. Pozvali su Andrijolića da dokaže svoje tvrdnje.
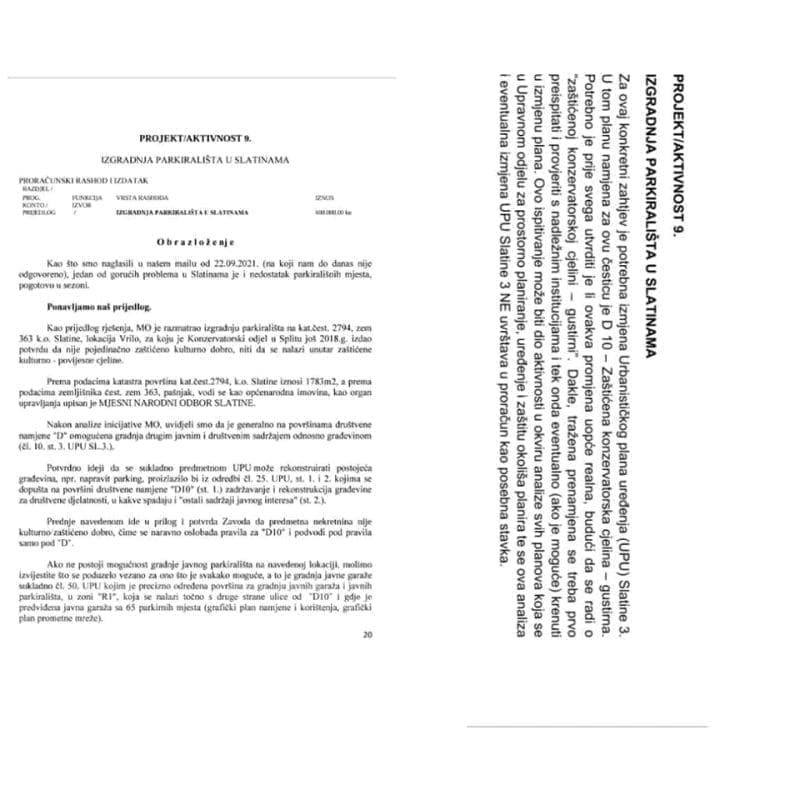
"Gospodin Tomislav Andrijolić danas je za medije izjavio da se Most poziva na njegov projekt izgradnje parkirališta iz 2020. Prilaže i amandman iz kojeg nije jasno o kojoj je lokaciji riječ, no moguće da se referira na rješenje za koje nam je pročelnik još u rujnu 2021. rekao da se radi o neprovedivom projektu.
Cijenjeni gospodine Andrijoliću, mi u Mostu smo poduzeli čitav niz aktivnosti da bi predložili lokaciju na kojoj je izgradnja parkirališta u Slatinama izvediva, a nismo našu podršku proračunu uvjetovali listom lijepih želja.
- 21.09.2021. uputili smo mail kojim tražimo da se službe očituju o mogućnosti gradnje na lokaciji "Vrilo" (priložili smo i našu analizu po kojoj tvrdimo da je to moguće);
- 9.11.2021. dostavili smo isti prijedlog gradonačelniku Puljku, koji nam je 13.11.2021. dostavio odgovor službe o potrebnoj izmjeni UPU Slatine 3;
- 17.12.2021. podnijeli smo amandman na Proračun za 2022. kojeg je gradonačelnik prihvatio;
- 14.02.2022. dostavili smo informaciju na koji način se Grad Split može uknjižiti kao vlasnik te smo potaknuli službe na pokretanje tog postupka;
- 18.03.2021. na sjednici Gradskoga vijeća zamjenik Ivošević nas je izvijestio da nije potrebna izmjena UPU Slatine 3;
- 10.05.2022. naš kolega Ante Popović obratio se službama Grada s upitom o aktivnostima na ovom projektu.
Prihvaćamo Vaš poziv na zajedničko rješavanje problema, slobodno nam se javite s onim čime Vi možete doprinijeti.
Za kraj, mogli ste prvo provjeriti radi li se o istoj lokaciji i što smo sve poduzeli, prije nego ste pretpostavili da se radi o Vašem prijedlogu, pa bi Vam možda bilo jasnije da mi nismo oni kojima su 'samo puna usta Slatina'", stoji u Mostovom odgovoru.



