Slovenski portal necenzurirano.si objavio je navodni non-paper koji je premijer Slovenije Janez Janša poslao u Bruxelles.
Naime, u njemu nudi svoje rješenje podjele BiH.
Njegove osnovne teze preuzeli su u četvrtak i vodeći mediji kritični prema vladi Janeza Janše, koju optužuju za autoritarizam, napade na nezavisno novinarstvo i udaljavanje vanjske politike Slovenije od dominantnog europskog pravca, prenosi Index.
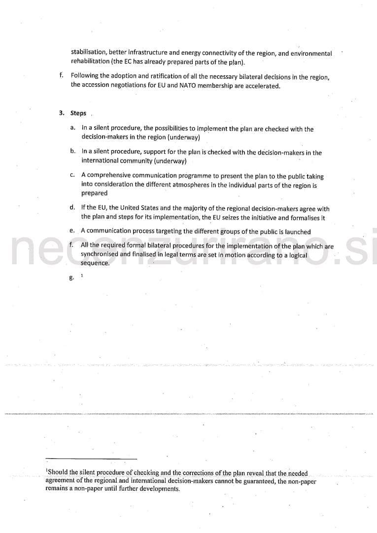
"Neslužbeni diplomatski dokument o komadanju BiH, priključenju Republike Srpske Srbiji i ujedinjenju Kosova s Albanijom doista postoji, ima naslov "Zapadni Balkan – put naprijed", a po našim ga je informacijama u veljači ove godine dobio kabinet predsjednika Europskog vijeća Charlesa Michela, ali ne diplomatskom poštom", pišu novinari Vesna Vuković i Primož Cirman na slovenskom portalu "Necenzurirano", koji se deklarira kao istraživački portal, a slovenska javnost doživljava ga kao lijevo orijentiranog.
Naslov dokumenta je "Zapadni Balkan - put naprijed".

Sadržaj navodnog dokumenta, bez zaglavlja i potpisa, pisanog na engleskome, prenijeli su i mnogi drugi mediji u Sloveniji, uz ogradu da ga nisu potvrdili niti Europsko vijeće ili Europska komisija i da je postojanje tzv. Janšina non-papera još ranije demantirao predsjednik slovenske vlade.
"Nije poznato tko je dokument pisao, naši izvori tvrde da zasigurno nije nastao u slovenskom ministarstvu vanjskih poslova, nego u Budimpešti. Unatoč tome, u briselskim se diplomatskim krugovima o njemu govori kao o 'slovenskom' non-paperu jer je premijerov kabinet navodno sudjelovao u njegovu slanju na različite adrese", navodi slovenski portal.
To je, navodi se u prilogu portala, jedan od triju non-papera nastalih nedavno u vezi s regijom zapadnog Balkana, a i u njima je sudjelovala Slovenija, premda su "u suprotnosti sa svim važećim dokumentima na kojima se temelji slovenska vanjska politika", navodi portal. On u taj kontekst dovodi i hrvatski non-paper o Bosni i Hercegovini i njenom putu prema Europskoj uniji i navodi da je i ovaj non-paper "još jedan napisan po mjeri srpskih i hrvatskih nacionalističkih krugova koji se već tri desetljeća zauzimaju za komadanje BiH". Spominje se i navodni treći non-paper u kojem je, prema tvrdnjama, također sudjelovao Janša, ali se ne navode detalji s tim u vezi.





